개요
수학에서의 제곱과 제곱근은 수식에서 사용하는 기초 개념입니다.
제곱
같은 수를 여러번 곱하는 것을 제곱이라고 합니다.
3x3x3x3x3
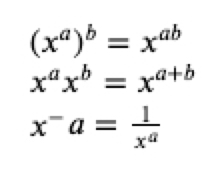
은 3의 5승이라고 읽고 아래 그림과 같이 표기합니다.

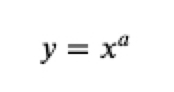
제곱을 이용한 일차방정식의 예시입니다.

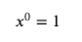
위 식의 특징은 a=0 이면 y값은 1이 됩니다.

그리고 제곱은 아래와 같은 관계도 성립합니다.

제곱을 파이썬으로 구현해보기

수식을 파이썬의 함수를 이용하여 구현해 보겠습니다.
%matplotlib inline
import numpy as np
import matplotlib.pyplot as plt
def myFunc(x): # myFunc라는 이름의 함수를 선언
a = 3
return x**a # x의 a승
x = np.linspace(0, 2)
y = myFunc(x) # y = f(x)
plt.plot(x, y)
plt.xlabel("x", size=14)
plt.ylabel("y", size=14)
plt.grid()
plt.show()
[결과]

x값에 맞춰 y갑이 제곱으로 상승하는 곡선을 그리면서 올라갑니다.
제곱근
수학에서 제곱근은 루트기호를 사용합니다.
제곱근은 제곱하여 그 수가 되는 수를 가리킵니다.
예를 들어 9의 제곱근은 +3과 -3이 됩니다.
제곱근의 수식은 아래와 같이 표기할 수 있습니다.
[그림]
제곱근을 파이썬으로 구현해보기
위의 수식을 NumPy의 sqrt()함수를 이용해서 구현해보도록 하겠습니다.
%matplotlib inline
import numpy as np
import matplotlib.pyplot as plt
def myFunc(x): # myFunc라는 이름의 함수를 선언
a = 3
return np.sqrt(x) # x의 제곱근 x**(1/2)의 수식과 같음
x = np.linspace(0, 9)
y = myFunc(x) # y = f(x)
plt.plot(x, y)
plt.xlabel("x", size=14)
plt.ylabel("y", size=14)
plt.grid()
plt.show()
[결과]

x값에 맞춰 y갑이 제곱근으로 상승하는 곡선을 그리면서 올라갑니다.
다음에는 다항식함수에 대해서 알아보도록 하겠습니다.
https://iot-lab.tistory.com/155
04. 파이썬으로 배우는 수학 기초 : 다항식과 다항식함수
개요 다항식함수는 수학에서는 아주 기초적인 함수입니다. 다항식함수 다항식은 수학에서 단항식들의 덧셈과 뺄셈으로 이루어진 식을 가리킵니다. 이런 다항식을 함수로 만든 것이 다항식함수
iot-lab.tistory.com
'프로그래밍 언어 > 파이썬 수학' 카테고리의 다른 글
| 05. 파이썬으로 배우는 수학 기초 : 삼각함수 (2) | 2020.07.14 |
|---|---|
| 04. 파이썬으로 배우는 수학 기초 : 다항식과 다항식함수 (0) | 2020.07.14 |
| 02. 파이썬으로 배우는 수학 기초 : 수학의 함수와 파이썬의 함수 (0) | 2020.07.13 |
| 01. 파이썬으로 배우는 수학 기초 : 변수와 정수 (0) | 2020.07.13 |
| 00. 파이썬으로 배우는 수학 기초 : Jupyter Notebook에서 LaTeX 사용하는 방법(수식 만들기) (2) | 2020.07.13 |