개요
다항식함수는 수학에서는 아주 기초적인 함수입니다.
다항식함수
다항식은 수학에서 단항식들의 덧셈과 뺄셈으로 이루어진 식을 가리킵니다.

이런 다항식을 함수로 만든 것이 다항식함수입니다.

다항식을 일반화하면 다음과 같은 수식으로 나타낼 수 있습니다.

그리고 이런 다항식을 n차 다항식이라고 합니다.
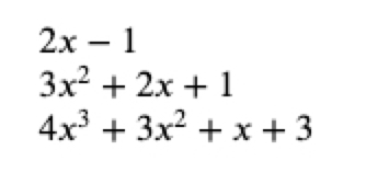
2차 다항식을 파이썬으로 구현해보기

위 수식인 2차다항식을 파이썬의 함수를 이용하여 구현해 보겠습니다.
%matplotlib inline
import numpy as np
import matplotlib.pyplot as plt
def myFunc(x): # myFunc라는 이름의 함수를 선언
a = 3
return 3*x**2 + 2*x + 1
x = np.linspace(-2, 2)
y = myFunc(x) # y = f(x)
plt.plot(x, y)
plt.xlabel("x", size=14)
plt.ylabel("y", size=14)
plt.grid()
plt.show()
[결과]

3차 다항식을 파이썬으로 구현해보기

위 수식인 2차 다항식을 파이썬의 함수를 이용하여 구현해 보겠습니다.
%matplotlib inline
import numpy as np
import matplotlib.pyplot as plt
def myFunc(x): # myFunc라는 이름의 함수를 선언
a = 3
return 4*x**3 + 3*x**2 + 2*x + 1
x = np.linspace(-2, 2)
y = myFunc(x) # y = f(x)
plt.plot(x, y)
plt.xlabel("x", size=14)
plt.ylabel("y", size=14)
plt.grid()
plt.show()
[결과]

다음에는 삼각함수에 대해서 알아보도록 하겠습니다.
https://iot-lab.tistory.com/156
05. 파이썬으로 배우는 수학 기초 : 삼각함수
개요 수학의 삼각함수를 알아보고 파이썬으로 구현해보겠습니다. 삼각함수 삼각함수는 각의 크기를 삼각비로 나타내는 함수입니다. 삼각비는 직각삼각형에서 각도가 주어지면 변의 길이는 다�
iot-lab.tistory.com
'프로그래밍 언어 > 파이썬 수학' 카테고리의 다른 글
| 06. 파이썬으로 배우는 수학 기초 : 수열의 합과 곱 (0) | 2020.07.15 |
|---|---|
| 05. 파이썬으로 배우는 수학 기초 : 삼각함수 (2) | 2020.07.14 |
| 03. 파이썬으로 배우는 수학 기초 : 제곱과 제곱근 (0) | 2020.07.14 |
| 02. 파이썬으로 배우는 수학 기초 : 수학의 함수와 파이썬의 함수 (0) | 2020.07.13 |
| 01. 파이썬으로 배우는 수학 기초 : 변수와 정수 (0) | 2020.07.13 |