개요
수열의 합과 곱에 대해서 알아보고 파이썬 NumPy를 이용해서 구현해보도록 하겠습니다
수열의 합
수열의 합과 곱은 아래와 같이 모두 더하는 계산을 이야기합니다.
1+2+3+4+5
이 것을 일반화하면 모든 수의 개수를 n이라 하고 아래와 같은 수식으로 표현할 수 있습니다.

그리고 이 수식을 간단한 수식으로 표현하기 위해 시그마를 사용할 수 있습니다.

수열의 합을 파이썬으로 구현하기
아래 수식을 파이썬으로 구현해보겠습니다.
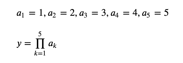
수열의 합은 NumPy의 sum()함수를 이용합니다.

import numpy as np
a = np.array([1, 2, 3, 4, 5]) # a1 ~ a5의 수를 배열로 선언
y = np.sum(a) # 수열의 합
print(y)
[결과]

수열의 곱
수열의 곱은 아래와 같이 모든 수를 곱하는 계산을 이야기합니다.
1x2x3x4x5
이 것을 일반화하면 모든 수의 개수를 n이라 하고 아래와 같은 수식으로 표현할 수 있습니다.

그리고 이 수식을 간단한 수식으로 표현하기 위해 파이를 사용할 수 있습니다.

수열의 곱을 파이썬으로 구현하기

아래 수식을 파이썬으로 구현해보겠습니다.
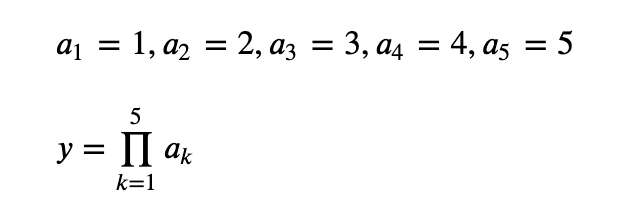
수열의 곱은 NumPy의 prod()함수를 이용합니다.
import numpy as np
a = np.array([1, 2, 3, 4, 5]) # a1 ~ a5의 수를 배열로 선언
y = np.prod(a) # 수열의 곱
print(y)
[결과]

다음에는 난수(Random Number)에 대해서 알아보도록 하겠습니다.
'프로그래밍 언어 > 파이썬 수학' 카테고리의 다른 글
| 08. 파이썬으로 배우는 수학 기초 : 절대값 (0) | 2020.07.21 |
|---|---|
| 07. 파이썬으로 배우는 수학 기초 : 난수 (Random Number) (0) | 2020.07.15 |
| 05. 파이썬으로 배우는 수학 기초 : 삼각함수 (2) | 2020.07.14 |
| 04. 파이썬으로 배우는 수학 기초 : 다항식과 다항식함수 (0) | 2020.07.14 |
| 03. 파이썬으로 배우는 수학 기초 : 제곱과 제곱근 (0) | 2020.07.14 |